Skip to main content

Ángulos en una circunferencia.

Ángulo central.

ang central01

ang central02

Ángulo inscrito.

ang insc

 La mitad del central correspondiente.

ang inscrito

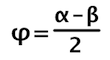
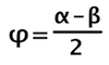
Ángulo interior.

ang inter01

ang inter02

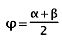
Ángulo exterior.

ang exter01

ang exter02

Ángulo semiinscrito.

ang semiinsc

ang inscrito

Ángulo circunscrito.

ang circuns01

ang circuns02

 

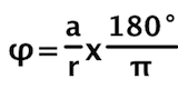
Arco capaz.

Es el lugar geométrico de los puntos del plano desde los que se ven los extremos (A y B) de un segmento bajo un ángulo determinado.

logoggb2peq